HPV Target gene Detail Information

> NPY Gene Search Result


Gene Information
Gene Name NPY
Gene ID 4852
Gene Full Name neuropeptide Y
Gene Alias PYY4
Transcripts ENSG00000122585
Virus HPV
Gene Type protein coding
HPA Location Info Golgi apparatus;Predicted to be secreted;
HPA Protein Class Info Plasma proteins, Predicted secreted proteins
Uniport_ID P01303
HGNC ID HGNC:7955
VEGA ID OTTHUMG00000022973
OMIM ID 162640
String ID 9606.ENSP00000384364
Drugbank ID BE0003476
PharmGKB ID PA255
Target gene [NPY] related to VISs
DVID Chromosome HM TFBS CA Sum of Overlapped Records Detail
5403551 chr7 2 12 14 View
5404966 chr7 1 1 View

Relationship between gene expression and immune infiltrating cell level
Data ID Disease Sample number Sample type
GSE140662 (GEO) Condyloma Acuminatum 8 Condyloma acuminata (HPV+)(5), Skin(3)
GSE65858 (GEO) Head and neck squamous cell carcinoma 270 Head and neck squamous cell carcinoma (EBV+)(73), Head and neck squamous cell carcinoma (EBV-)(197)
GSE55546 (GEO) Oropharyngeal squamous cell carcinoma 16 Oropharyngeal cancers (HPV+)(12), Normal (4)
GSE55544 (GEO) Oropharyngeal squamous cell carcinoma 23 Oropharyngeal cancers HPV Active (11), Oropharyngeal cancers HPV Inactive (4), Oropharyngeal cancers HPV Negative (8)
GSE55542 (GEO) Oropharyngeal squamous cell carcinoma 36 Oropharyngeal cancers HPV Active (12), Oropharyngeal cancers HPV Inactive (8), Oropharyngeal cancers HPV Negative (16)
GSE51993 (GEO) Cervical intraepithelial neoplasia 24 Cervical intraepithelial neoplasia (HPV+)(17), Normal(7)
HNSC (TCGA) Head and Neck squamous cell carcinoma 566 Head and Neck squamous cell carcinoma(HPV-)(483),Head and Neck squamous cell carcinoma(HPV+)(39),Paracancerous(HPV-)(44)

> Dataset: GSE140662

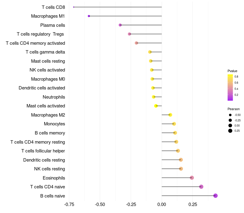
HeatMap of cell type fractions in all samples Lollipop of NPY expression and immune infiltrating cell level correlation result in HPV+ samples
NPY expression: Low -> High

> Dataset: GSE65858

HeatMap of cell type fractions in all samples Lollipop of NPY expression and immune infiltrating cell level correlation result in HPV+ samples
NPY expression: Low -> High

> Dataset: GSE55546

HeatMap of cell type fractions in all samples Lollipop of NPY expression and immune infiltrating cell level correlation result in HPV+ samples
NPY expression: Low -> High

> Dataset: GSE55544

HeatMap of cell type fractions in all samples Lollipop of NPY expression and immune infiltrating cell level correlation result in HPV+ samples
NPY expression: Low -> High

> Dataset: GSE55542

HeatMap of cell type fractions in all samples Lollipop of NPY expression and immune infiltrating cell level correlation result in HPV+ samples
NPY expression: Low -> High

> Dataset: GSE51993

HeatMap of cell type fractions in all samples Lollipop of NPY expression and immune infiltrating cell level correlation result in HPV+ samples
NPY expression: Low -> High

> Dataset: HNSC

HeatMap of cell type fractions in all samples Lollipop of NPY expression and immune infiltrating cell level correlation result in HPV+ samples
NPY expression: Low -> High

Contents
Description

Gene Information Note

  • Integration Table: if previous studies reported that target gene was altered by virus integration events, the overlap between VISs in this literature and Cistrome factors was listed in the "Target gene [gene] related to VIS" section

Immune Analysis Plot Note

  • Left: Heatmap of target gene expression and the level of various types of immune cells (cell type fractions) in all samples based on CIBERSORT method.
  • Right: Correlation of target gene expression and the level of various types of immune cells in virus positive samples (Pearson Correlation Coefficient).