|
Gene Information
|
Gene Name
|
FCGR3A |
|
Gene ID
|
2214
|
|
Gene Full Name
|
Fc fragment of IgG receptor IIIa |
|
Gene Alias
|
CD16; FCG3; CD16A; FCGR3; IGFR3; IMD20; FCR-10; FCRIII; FCGRIII; FCRIIIA |
|
Transcripts
|
ENSG00000203747
|
|
Virus
|
HTLV1 |
|
Gene Type
|
protein coding |
|
HPA Location Info
|
|
|
Membrane Info
|
Predicted membrane proteins |
|
HPA Protein Class Info
|
CD markers, Disease related genes, FDA approved drug targets, Plasma proteins, Predicted membrane proteins, Predicted secreted proteins |
|
Uniport_ID
|
P08637
|
|
HGNC ID
|
HGNC:3619
|
|
VEGA ID
|
OTTHUMG00000034466
|
|
OMIM ID
|
146740 |
|
String ID
|
9606.ENSP00000356946
|
|
Drugbank ID
|
BE0002097
|
|
PharmGKB ID
|
PA28065
|
|
FDA Approved Drug
|
Margetuximab-cmkb |
Target gene [FCGR3A] related to VISs
| DVID |
Chromosome |
HM |
TFBS |
CA |
Sum of Overlapped Records |
Detail |
| 6018403 |
chr1 |
9 |
|
|
9 |
View |
Relationship between gene expression and immune infiltrating cell level
| Data ID |
Disease |
Sample number |
Sample type |
|
GSE55851 (GEO) |
Adult T-cell leukemia |
21 |
Normal (3), Asymptomatic carriers (HTLV1+)(6), Adult T-cell Leukemia-lymphoma (HTLV1+)(12) |
|
GSE29312 (GEO) |
HTLV-1 associated myelopathy |
39 |
Normal (9), Asymptomatic carriers (HTLV1+)(20), HTLV-1-associated myelopathy (HTLV1+)(10) |
|
GSE29332 (GEO) |
HTLV-1 associated myelopathy |
35 |
Normal (8), Asymptomatic carriers (HTLV1+)(17), HTLV-1-associated myelopathy (HTLV1+)(10) |
> Dataset: GSE55851
|
|
HeatMap of cell type fractions in all samples
|
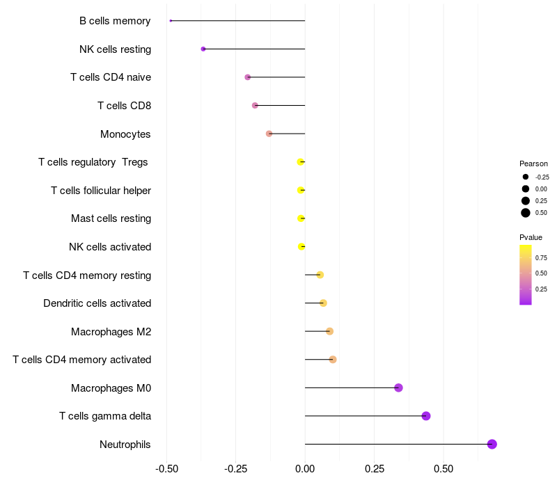
Lollipop of FCGR3A expression and immune infiltrating cell level correlation result in HTLV1+ samples
|
FCGR3A expression: Low -> High
|
|
|
> Dataset: GSE29312
|
|
HeatMap of cell type fractions in all samples
|
Lollipop of FCGR3A expression and immune infiltrating cell level correlation result in HTLV1+ samples
|
FCGR3A expression: Low -> High
|
|
|
> Dataset: GSE29332
|
|
HeatMap of cell type fractions in all samples
|
Lollipop of FCGR3A expression and immune infiltrating cell level correlation result in HTLV1+ samples
|
FCGR3A expression: Low -> High
|
|
|
|
|