EBV Target gene Detail Information

> ERC2 Gene Search Result


Gene Information
Gene Name ERC2
Gene ID 26059
Gene Full Name ELKS/RAB6-interacting/CAST family member 2
Gene Alias CAST; CAST1; ELKSL; Spc110; SPBC110
Transcripts ENSG00000187672
Virus EBV
Gene Type protein coding
HPA Location Info
HPA Protein Class Info Plasma proteins, Predicted intracellular proteins
Uniport_ID O15083
HGNC ID HGNC:31922
VEGA ID OTTHUMG00000158390
OMIM ID 617250
String ID 9606.ENSP00000288221
PharmGKB ID PA162385249
Target gene [ERC2] related to VISs
DVID Chromosome HM TFBS CA Sum of Overlapped Records Detail
3000137 chr3 97 1 20 118 View

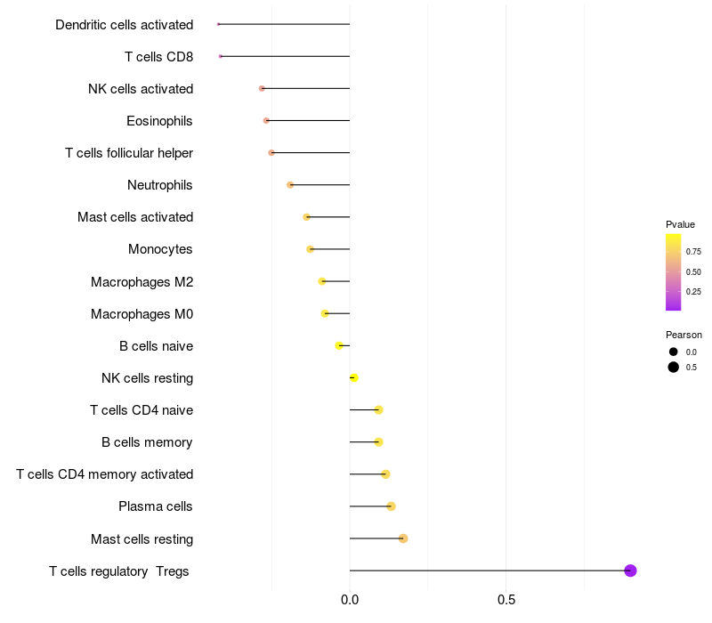
Relationship between gene expression and immune infiltrating cell level
Data ID Disease Sample number Sample type
GSE102203 (GEO) B-cell lymphoma 9 Plasmablastic lymphomas (EBV+)(6), Plasmablastic lymphomas (EBV-)(3)
GSE100458 (GEO) Burkitt lymphoma 14 Burkitt lyphoma cell line Akata(EBV+)(2),Burkitt lyphoma cell line Akata(EBV-)(2),Burkitt lyphoma cell line Awia(EBV+)(2),Burkitt lyphoma cell line Awia(EBV-)(2),Burkitt lyphoma cell line Eli(EBV+)(1),Burkitt lyphoma cell line Eli(EBV-)(1),Burkitt lyphoma cell line Mutu(EBV+)(2),Burkitt lyphoma cell line Mutu(EBV-)(2)
GSE42867 (GEO) Burkitt lymphoma 12 Burkitt lymphoma cell line Awia (EBV+)(12)
GSE45919 (GEO) Infectious mononucleosis 24 Infectious mononucleosis (IM)(EBV+)(3), Normal (9), Latent EBV (12)
GSE85599 (GEO) Infectious mononucleosis 17 Chronic active EBV infection (EBV+)(5), Acute infectious mononucleosis (EBV+)(6), Normal (6)
GSE58240 (GEO) Multiple sclerosis 32 Multiple sclerosis IFN-β treated (EBV+)(16), Multiple sclerosis untreated (EBV+)(16)
GSE12452 (GEO) Nasopharyngeal carcinoma 41 Nasopharyngeal carcinoma (EBV+)(31), Normal(10)

> Dataset: GSE102203

HeatMap of cell type fractions in all samples Lollipop of ERC2 expression and immune infiltrating cell level correlation result in EBV+ samples
ERC2 expression: Low -> High

> Dataset: GSE100458

HeatMap of cell type fractions in all samples Lollipop of ERC2 expression and immune infiltrating cell level correlation result in EBV+ samples
ERC2 expression: Low -> High

> Dataset: GSE42867

HeatMap of cell type fractions in all samples Lollipop of ERC2 expression and immune infiltrating cell level correlation result in EBV+ samples
ERC2 expression: Low -> High

> Dataset: GSE45919

HeatMap of cell type fractions in all samples Lollipop of ERC2 expression and immune infiltrating cell level correlation result in EBV+ samples
ERC2 expression: Low -> High

> Dataset: GSE85599

HeatMap of cell type fractions in all samples Lollipop of ERC2 expression and immune infiltrating cell level correlation result in EBV+ samples
ERC2 expression: Low -> High

> Dataset: GSE58240

HeatMap of cell type fractions in all samples Lollipop of ERC2 expression and immune infiltrating cell level correlation result in EBV+ samples
ERC2 expression: Low -> High

> Dataset: GSE12452

HeatMap of cell type fractions in all samples Lollipop of ERC2 expression and immune infiltrating cell level correlation result in EBV+ samples
ERC2 expression: Low -> High

Contents
Description

Gene Information Note

  • Integration Table: if previous studies reported that target gene was altered by virus integration events, the overlap between VISs in this literature and Cistrome factors was listed in the "Target gene [gene] related to VIS" section

Immune Analysis Plot Note

  • Left: Heatmap of target gene expression and the level of various types of immune cells (cell type fractions) in all samples based on CIBERSORT method.
  • Right: Correlation of target gene expression and the level of various types of immune cells in virus positive samples (Pearson Correlation Coefficient).