EBV Target gene Detail Information

> CDHR1 Gene Search Result


Gene Information
Gene Name CDHR1
Gene ID 92211
Gene Full Name cadherin related family member 1
Gene Alias RP65; PRCAD; CORD15; PCDH21
Transcripts ENSG00000148600
Virus EBV
Gene Type protein coding
HPA Location Info
Membrane Info Predicted membrane proteins
HPA Protein Class Info Disease related genes, Predicted intracellular proteins, Predicted membrane proteins
Uniport_ID Q96JP9
HGNC ID HGNC:14550
VEGA ID OTTHUMG00000018634
OMIM ID 609502
String ID 9606.ENSP00000485478
PharmGKB ID PA33005
Target gene [CDHR1] related to VISs
DVID Chromosome HM TFBS CA Sum of Overlapped Records Detail
3300059 chr10 4 4 View

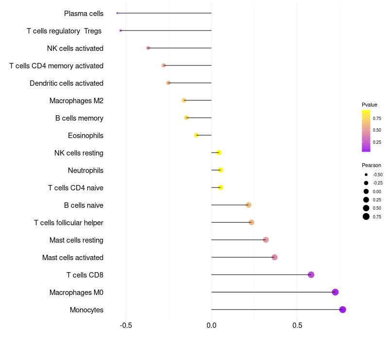
Relationship between gene expression and immune infiltrating cell level
Data ID Disease Sample number Sample type
GSE102203 (GEO) B-cell lymphoma 9 Plasmablastic lymphomas (EBV+)(6), Plasmablastic lymphomas (EBV-)(3)
GSE100458 (GEO) Burkitt lymphoma 14 Burkitt lyphoma cell line Akata(EBV+)(2),Burkitt lyphoma cell line Akata(EBV-)(2),Burkitt lyphoma cell line Awia(EBV+)(2),Burkitt lyphoma cell line Awia(EBV-)(2),Burkitt lyphoma cell line Eli(EBV+)(1),Burkitt lyphoma cell line Eli(EBV-)(1),Burkitt lyphoma cell line Mutu(EBV+)(2),Burkitt lyphoma cell line Mutu(EBV-)(2)
GSE42867 (GEO) Burkitt lymphoma 12 Burkitt lymphoma cell line Awia (EBV+)(12)
GSE85599 (GEO) Infectious mononucleosis 17 Chronic active EBV infection (EBV+)(5), Acute infectious mononucleosis (EBV+)(6), Normal (6)
GSE12452 (GEO) Nasopharyngeal carcinoma 41 Nasopharyngeal carcinoma (EBV+)(31), Normal(10)

> Dataset: GSE102203

HeatMap of cell type fractions in all samples Lollipop of CDHR1 expression and immune infiltrating cell level correlation result in EBV+ samples
CDHR1 expression: Low -> High

> Dataset: GSE100458

HeatMap of cell type fractions in all samples Lollipop of CDHR1 expression and immune infiltrating cell level correlation result in EBV+ samples
CDHR1 expression: Low -> High

> Dataset: GSE42867

HeatMap of cell type fractions in all samples Lollipop of CDHR1 expression and immune infiltrating cell level correlation result in EBV+ samples
CDHR1 expression: Low -> High

> Dataset: GSE85599

HeatMap of cell type fractions in all samples Lollipop of CDHR1 expression and immune infiltrating cell level correlation result in EBV+ samples
CDHR1 expression: Low -> High

> Dataset: GSE12452

HeatMap of cell type fractions in all samples Lollipop of CDHR1 expression and immune infiltrating cell level correlation result in EBV+ samples
CDHR1 expression: Low -> High

Contents
Description

Gene Information Note

  • Integration Table: if previous studies reported that target gene was altered by virus integration events, the overlap between VISs in this literature and Cistrome factors was listed in the "Target gene [gene] related to VIS" section

Immune Analysis Plot Note

  • Left: Heatmap of target gene expression and the level of various types of immune cells (cell type fractions) in all samples based on CIBERSORT method.
  • Right: Correlation of target gene expression and the level of various types of immune cells in virus positive samples (Pearson Correlation Coefficient).