Primary Site >> Liver Cancer
Gene >> RTKN2
| Methylation Level in Liver Cancer | MODERATE |
| Box Plot in Liver Cancer | Expression-Methylation Scatter Plot in Liver Cancer |
|
|
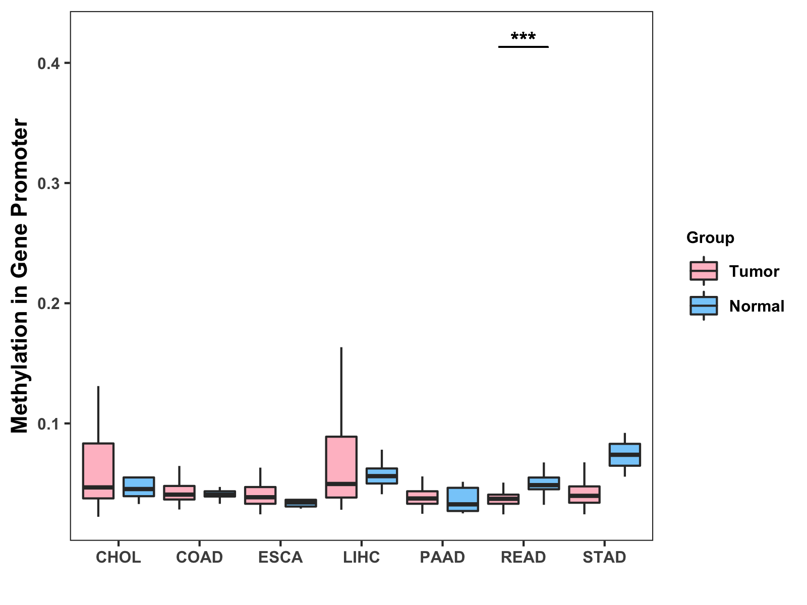
Boxplot of All Gastrointestinal Cancer ( * : 0.01-0.05 , ** : 0.005-0.01 , *** : 0.0001-0.005 , **** : < 0.0001 ) |
|
|
|