Primary Site >> Colorectal Cancer

Gene >> FAM186A

Methylation Level in Colon Cancer LOW Methylation Level in Rectum Cancer LOW
Box Plot in Colon Cancer Box Plot in Rectum Cancer
Expression-Methylation Scatter Plot in Colon Cancer Expression-Methylation Scatter Plot in Rectum Cancer

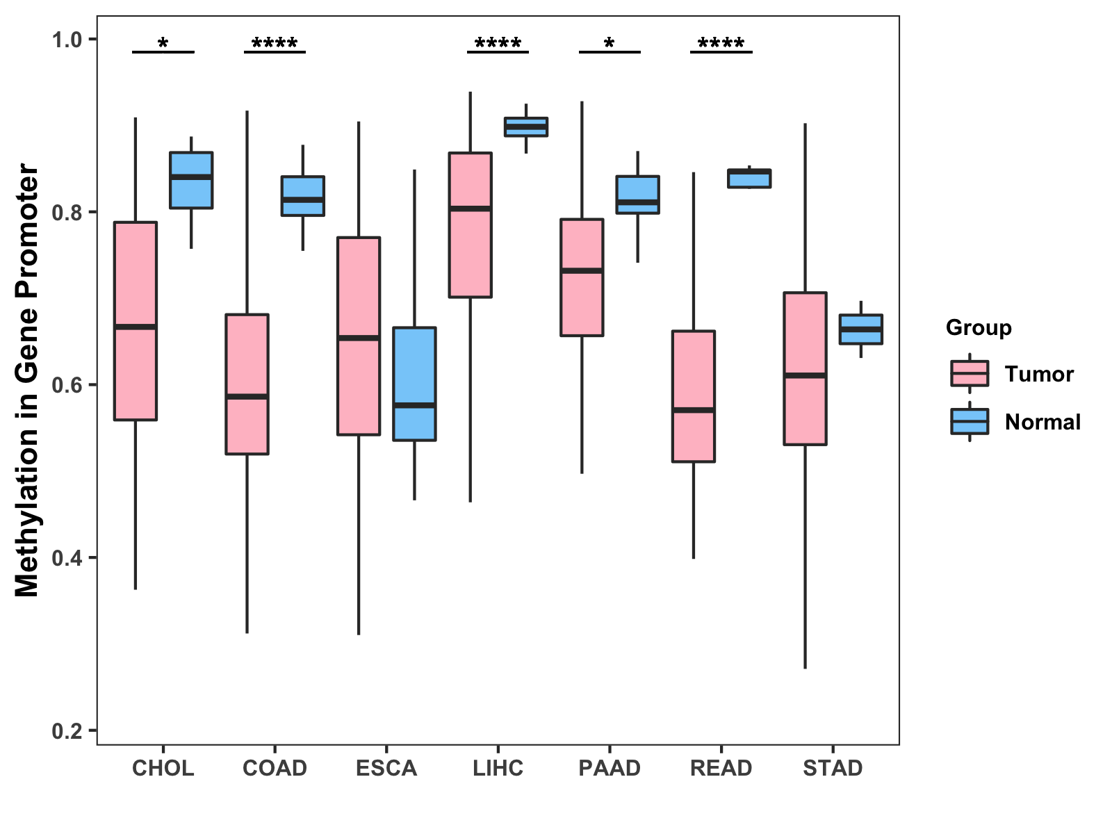
Boxplot of All Gastrointestinal Cancer

( * : 0.01-0.05 , ** : 0.005-0.01 , *** : 0.0001-0.005 , **** : < 0.0001 )