Primary Site >> Colorectal Cancer

Gene >> UTS2R

Expression Level in Colon Cancer: LOW Expression Level in Rectum Cancer: MODERATE
Boxplot of Colon Cancer Boxplot of Rectum Cancer
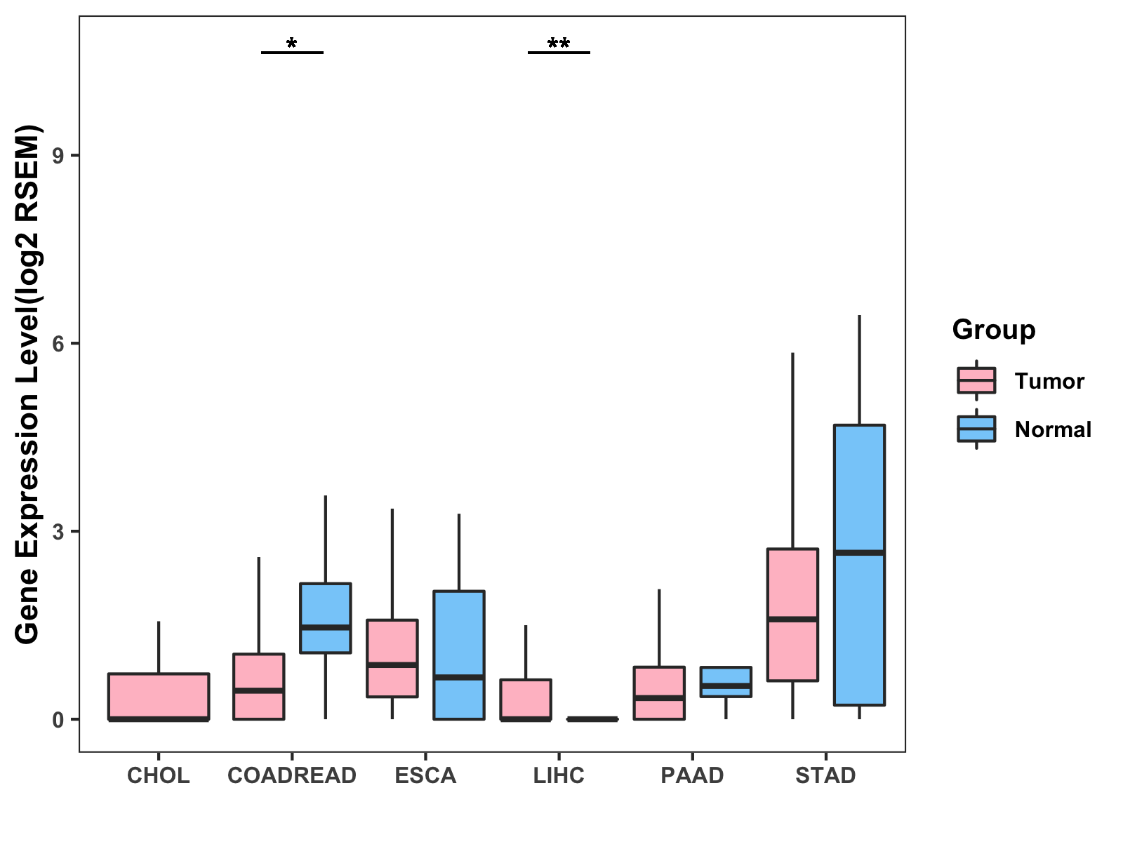
Boxplot of All Gastrointestinal Cancer
( * : 0.01-0.05 , ** : 0.005-0.01 , *** : 0.0001-0.005 , **** : < 0.0001 )