Primary Site >> Biliary tract Cancer
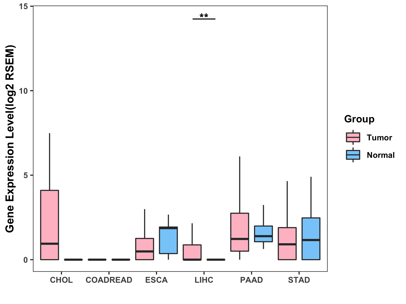
Gene >> RTL1
| Expression Level in Biliary tract Cancer | MODERATE |
| Boxplot of Biliary tract Cancer | Boxplot of All Gastrointestinal Cancer
( * : 0.01-0.05 , ** : 0.005-0.01 , *** : 0.0001-0.005 , **** : < 0.0001 ) |
|
|